Волошин Виктор Винзор
Демократия - способ выбора

Самиздат: [Регистрация] [Найти] [Рейтинги] [Обсуждения] [Новинки] [Обзоры] [Помощь|Техвопросы]
Ссылки:
Школа кожевенного мастерства: сумки, ремни своими руками Типография Новый формат: Издать свою книгу
Оценка: 3.00*3  Ваша оценка:
  • Аннотация:
    Хотитите ли вы, чтоб вам Вашингтон, Брюссель или Москва указывали, что демократично, а что нет? Или вы хотите сами это узнать? Если хотите, то статья для вас!


Вычисление демократии.

Глава 1. Демократия - способ выбора.

   Мы все так или иначе сравниваем демократии. Заставляют нас это делать все. А в первую очередь США. Именно США определяет, что демократично, а что нет. Миссия США - сделать мир демократичным, а значит мы в ближайшее время будем сравнивать демократии. Хотим мы этого или не хотим.
   Западные страны говорят, мы образец демократии, а вы должны расти. Вспомните выборы в Украине, в Грузии и в Кыргызстане. Мнение ОБСЕ и других международных и иностранных наблюдателей, не согласившихся с тем, что выборы были не демократичны, сделали своё дело. Там сравнение демократий привело к революциям. Сравнение демократий приводит чаще к тому, что рейтинги одних политических сил падают, а других - растут. Подобное влияние Западных стран заставило и Незападным странам тоже заняться сравнением демократий. Соответствует или нет демократии то или иное событие? Незападные страны говорят, да у нас демократии больше, чем у вас. Как видно и Западные и Незападные страны считают, что они демократичны. Только отличие состоит в том, что Западные страны - нападают, говорят, мол у нас более 100 лет демократия, и поэтому мы такие хорошие, а Незападные страны - защищаются, говорят, что Западные страны имеют устаревшее законодательство, что у Незападных странах демократии намного больше. А что же на самом деле?
   Слово "демократия" уже давно превратилась в политическое оружие.
   Особо показательны несколько примеров. Например ОБСЕ признало выборы в Косово, Ираке и Афганистане демократичными. Но она не признала этого в Казахстане (выборы президента в 2005 году, где Нурсултан Назарбаев выиграл с 91% голосов) и не признала выборы президента России (второй срок Путина, когда за него проголосовало более 70% избирателей). Человеку, даже не разбирающемуся в политике, и то станет ясно, что это не соответствует действительности. Это пример западной предвзятости. Но предвзята не только западная сторона. Предвзяты и, так называемые, авторитарные страны. Всем понятно, что например выборы президента Украины в 3-м туре выборов были более демократичны, чем в тот же день проходившие парламентские выборы в Узбекистане. Но тут наблюдатели СНГ не признали украинские выборы демократичными, зато признали демократичными узбекские выборы.
   А вы хотите без чьего либо вмешательства выяснить, что демократичней, а что нет? Если нет, то дальше статью можно не читать. А если вы не хотите быть политическим оружием в чужих руках, то читаем дальше.
   Итак, надо дать определение, что такое демократия. Хочу сразу заметить, многие путают демократию с гражданским обществом. Эти два понятия различны и могут существовать вне зависимости друг от друга, хотя в основном, гражданское общество появляется как продукт длительной демократии.
   Для начала выясним, что такое демократический выбор, или демократия, как способ выбора.
   Энциклопедия Кирилла и Мефодия даёт такое определение: "ДЕМОКРАТИЯ, и, ж. 2. Принцип организации коллективной деятельности, при котором обеспечивается активное и равноправное участие в ней всех членов коллектива". В принципе это определение достаточно полное, однако по этому определению нельзя сравнивать демократичность выбора. Поэтому, я дополню определение. "Демократия - способ выбора: максимально возможное число равноправных участников, которых касается решение выбора(электорат), стоящих перед максимально возможным выбором, большинством делают выбор".
   С этим надо разобраться детальнее. Как видно из определения, демократию выбора можно разделить на четыре составляющие. Первая: электоральная демократия (ЭД), где мы оцениваем насколько электорат максимален и неизбыточен. Вторая: равноправная демократия (РД), где мы оцениваем насколько права одного лица отличаются от другого и как это влияет на демократию выбора. Третья: демократия возможности (ВД), где мы оцениваем, насколько разрешённый выбор отличается от желаемого. И наконец, четвёртая составляющая: демократия соответствия (СД), где мы оцениваем, большинством или нет сделан выбор. А теперь начнём высчитывать составляющие.
   Так же видно, что если хотя бы одного элемента из четырёх нет, то нет и демократии. Поэтому делаем главное допущение - демократия выбора не больше самого слабого звена. Для того, чтоб перейти к числам, необходимо решить в чём мы будем измерять демократичность выбора. Я предлагаю вычислять её в процентах. Если демократичность =100% - это максимально демократичный выбор, и это соответствует классическому определению демократии. Однако, классическое определение - недостижимый идеал, а значит, оно не подходит для сравнения демократичности. 0%- минимально возможная демократия - то есть полное её отсутствие. Все реальные значения будут лежать между 0% и 100%. Теперь воспользуемся допущением о слабом звене, и тогда демократия выбора равна произведению её составляющих. ДВ=ЭД*РД*СД*ВД. Так как любой из этапов не больше 100%, то и общая демократия выбора не больше 100%. А это бывает только в том случае, когда все составляющие равны 100%. Кроме того, общая демократия выбора не больше самого малого значения из составляющих.
   структура демократического выбора [я]
   формулы электоральной демократии [я]
   Максимально возможное число участников выбирается из критерия касательности. Если решение вопроса касается лица, оно должно быть в электорате. Отсюда вывод, чем больше электорат соответствует критерию касательности, тем более демократичен выбор. И чем больше лиц, не являющихся электоратом, но которые подвержены критерию касательности, тем меньше демократии. А те лица, которых критерий касательности не задевает, но являются электоратом (избыточность), уменьшают демократию. Перед тем как привести пример, добавлю, что электоратом может быть только человек, отвечающий за свои поступки, а значит душевнобольные и невменяемые люди не могут быть электоратом. ЭД=К*ОК. Где К- процент лиц, из всех допущенных на выборы, и которые соответствуют критерию касательности. ОК- процент лиц, из всех лиц подверженных критерию касательности, и которых допустили к голосованию. Пример. Если мы берём общегосударственные выборы, то критерий касательности - все граждане, достигшие совершеннолетия (то есть отсекаем не отвечающих за свои действия людей). Но, например, запрещено голосовать заключённым. Таких - 2%. Значит электоральная демократия выбора - ЭД=ОК*100%=100%-2%=98%. А если допущены голосовать по тем или иным причинам иностранцы, а их из разрешённых голосовать 25%, то электоральная демократия выбора равна ЭД=ОК*К=98%*(100%-25%)=98%*75%=73.5%.
   Равноправные участники - главное свойство демократии. Чем равноправнее участники, тем больше демократия. Но например в акционерных обществах демократия нарушена с самого начала, так как держатели акций поставлены в неравные условия. Однако, экономика тем и отличается от политики, что в экономике правят деньги (а одна акция равноценна любой другой такого же номинала), а в политике - люди. В большинстве стран царит равноправие, а значит равноправная демократия выбора равна 100%. Но это соблюдается не везде.
   формулы равноправной демократии [я]
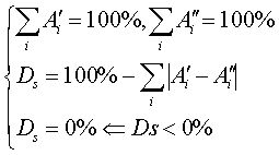
   Например в США, при выборе президента. Голос человека в штате Миссисипи не равноправен голосу человека в штате Юта. Как здесь вычислить равноправную демократию выбора? Найдём средние значение - значение равноправия. Оно равно сумме прав каждого человека, делённое на количество человек. С= Сумма[i =1...N](пi) - номинальное количество прав. Р=С/N - значение равноправия. То есть средние арифметическое прав человека. Каковы же права человека? Если в одном штате проживают 4 млн человек, а в другом - 6, а количество выборщиков на эти штаты одинаково, то (для удобства выбираем максимальное количество человек в числителе, это вовсе необязательно, можно взять и "1", а можно и минимальное количество, или любое другое положительное) голос человека одного штата равен 6млн/4 млн = 1.5 права, а во втором штате, 6млн/6 млн = 1 право. Соответственно, значение равенства прав равно Р= (4*1.5+6*1)/(6+4) = 12/10 = 1.2 голоса. Теперь вычисляем неравенство прав. Оно равняется норме остатка прав. (для удобства берём норму с основанием 1, хотя можно брать и другие нормы) То есть НР= Сумма[i =1...N](модуль(пi-Р)). То есть для нашего случая НР=4*(1.5-1.2)+6*модуль(1-1.2) = 4*0.3+6*0.2 = 1.2+1.2 = 2.4 млн голосов. И наконец, высчитываем: равноправная демократия выбора равняется разнице между 100% и относительным неравенством. То есть РД=100%(1-НР/С) . Для нашего случая равноправная демократия выбора равняется РД=100%*(1- 2.4/12) = 100%*(1-0.2) = 80%. Это конечно, если Америка только и состоит, что из этих двух штатов.
   Кроме того, если права у всех одинаковы, то по формулам видно, что РД=100%, так как пi=Р.
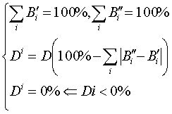
   Большинством делают выбор. Это один из самых слабых мест в демократии выбора. Демократия - это власть большинств (об этом см. Гл 2), поэтому не следует её путать с демократоподобным апартеидом (апартеида - власть меньшинств). Например на многих местных выборах разрешается явка менее 50%. Если же явка будет меньше 50% - это апартеид. Почему же его допускают? Дело в том, что принимают во внимание статистику. Она говорит, что по закону больших чисел, всё равно, какая будет явка, 20% или 100%, результат выбора от этого не зависит. Если эта теория совпадает с реальностью, то это демократоподобная апартеида. Если же нет (часто большее количество человек, поддерживающих одну сторону, идут на выборе неохотнее, чем люди, поддерживающие другую сторону) - это апартеида в чистом виде. Поэтому можно принять демократию выбора большинства равным 0% - если выборы делало меньшинство, и 100% - если выбор делало большинство. Можно поступить и сложнее. Пусть, если бы явка составила 100%, то выбор бы был такой А1, ..., Ап (понятно, что сумма всех Аi =100%). Но из-за того, что явка была меньше 100%, реально проголосовало Б1, ..., Бп (понятно, что сумма всех Бi =100%). Тогда несоответствие выбора, это норма остатка неравенства выбора. НБ= Сумма[i =1...N](модуль(Аi-Бi)). А демократия соответствия выбора равняется разнице между 100% и относительным неравенством. То есть СД=100%-НБ. формулы демократии соответсвия [я]
   Например, в Британии, за Консервативную партию проголосовало 55%, за Лейбористскую - 35%, за Либеральную партию - 10% (55%+35%+10% =100%). А если пришли бы все на выборы, то проголосовали бы так: Консерваторы-50%, Лейбористы-30%, Либералы-20%. Тогда неравенство выбора равно НБ=(55-50)+(35-30)+модуль(10-20)=5%+5%+10%=20%. И, наконец, демократия соответствия выбора равняется СД=100%-20%=80%. Чем плох расчёт по более сложному методу? Тем, что необходимо знать, как бы люди проголосовали с 100% явкой, что затруднительно. Над этим работают целые социологические школы.
   Кроме того у выбора большинства есть ещё один недостаток. Если за варианты отдали одинаковое количество голосов, то эти варианты - равноправны. Они инварианты. А недостаток заключается в следующем: нельзя демократически сделать выбор, если в результатом решения будет меньшее количество вариантов, чем количество пройденных неравноправных вариантов и инвариантов (при этом хоть один из инвариантов должен попасть в решение). Объясняю: если мы выбираем президента, а голосов за двоих отдано по 50%, то демократически выбор сделать невозможно. Или если в парламент проходят три партии, а по итогам голосования, за первую отдали 20%, за вторую, третью и четвёртую - одинаково по 10%, то нельзя демократически определится, кто же попадёт в парламент.
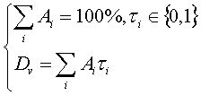
   Максимально возможный выбор - самое сложное понятие, так как плохо поддаётся вычислению. Каков был максимально возможный выбор в СССР, где допускались лишь коммунисты, или каков был максимально возможный выбор у иракцев, где не выбирались антиамериканские силы. Какова демократия в Германии, где запрещён нацизм, а люди бы и не прочь за него проголосовать? И как определять максимально возможный выбор - количественно или качественно? На пальцах всё значительно легче понять, чем высчитать количественно. Но всё же можно. Пусть если бы можно было бы голосовать за любую возможность т1, ..., тп, то выбор был бы таков Е1, ..., Еп (понятно, что сумма всех Еi =100%). Если вариант допущен к выборам, то тi=1, если же нет, то тi=0. Тогда демократия возможности выбора равняется сумме произведений возможности и невозможности. ВД= Сумма(Еi*тi). формулы демократии возможности [я]
   Например, в Германии за нацистов проголосовало бы 5% избирателей. Тогда демократия возможности выбора равнялась бы 95%. Или в Ираке за антиамериканские силы проголосовало бы 35%. Тогда демократия возможности выбора равна 65%. А в Америке, за не Республиканцев и не Демократов проголосовало бы 10%. Значит демократия возможности выбора равна 90%.
   Какова же общая демократия выбора? Очень просто: это произведение всех вышеперечисленных демократий: электоральной Д. выбора, равноправной Д. выбора, Д. соответствия выбора и Д. возможности выбора. Или ДВ=ЭД*РД*СД*ВД.
   формула демократии выбора [я]
   Например, если в США ЭД=97%, РД=80%, БД=90% и ВД=90%, то ДВ=97%*80%*90%*90%=62,8%.
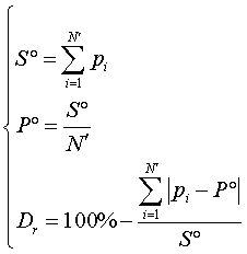
   Конечно же, если бы всё было бы так просто, то демократия не являлась бы политическим оружием. Но дело в том, что на выбор электората могут повлиять. Запрещёнными являются фальсификация выбора (то есть сфальсифицированы результаты), возможность высказываться (раз нельзя высказываться демократам в СССР, то, если бы их допустили бы до выборов, за них проголосовало бы намного меньше, чем если бы им дали высказываться), давление на электорат (предусматривает кару тем, кто проголосует не за того, кого надо) и прямой подкуп электората (можно подкупать всех, а нельзя только тех, кто за них проголосует). Правда обычно всё это объединяют под одну гребёнку: фальсификация. Как же вычислить влияние? Так же, как и раньше. Пусть без влияния, проголосовали бы Б1, ..., Бп (понятно, что сумма всех Бi =100%). А в итоге влияния на выбор (одно влияние или все сразу), получили Ы1, ..., Ып. Тогда полученная демократия выбора равняется произведению демократии выбору и неискажённости выбора. ПД=ДВ*НВ. А искажённость вычисляется как и раньше: норме разницы между неискажённым и искажённым. ИВ = Сумма[i =1...N](модуль(Бi-Ыi)). А неискажённость НВ=100%-ИВ. Например, в ходе выборов президента Украины, во втором туре с искажением оказалось за Януковича-54%, Ющенка-46%. А в третьем (который мы условно возьмём за истинное), за Януковича-46%, Ющенко-54%, тогда ИВ=(54%-46%)+модуль(46%-54%)=8%+8%=16%. Неискажённость - НВ=100%-16%=84%. А если при этом ДВ=60%, то ПД=60%*84%=50.4%. Или возьмём пример выбора президента США: проголосовали - Буш-49%, Гор-51%. В результате искажений оказалось, что Буш-51%, Гор-49%. Тогдаали пример выбора президента США -Бны, во втором туре Я-54%, Ю-46%. меньше, чемемократий: Д. ью и четвёртую - по вноб ИВ=(51-49)+(51-49)=4%. Отсюда виден ещё один недостаток демократии. При близости к инвариантности выбора, и меньшему количеству допустимого количества решений, даже малые искажения могут привести к апартеиду.
   фомула искажения демократии [я]
   На последок, следует отметить, что на демократический выбор может повлиять процедура демократического выбора. Так самая точная процедура - анонимное голосование. Однако, оно самое затратное и легче всего фальсифицируемое. А если выборы открытые, то из-за возможности того или иного давления, выбор искажается. Однако, это самое простое, дешёвое и трудно подделываемое.
   Конечно, за бортом остались и другие детали процедуры выбора. Может ли лицо изменить свой выбор, или он его делает единожды за выборы? Как долго можно голосовать? В течение дня или месяца? Есть ли возможность знать, результат уже проголосовавших или нет? Однако в отличие от открытости или анонимности голосования, здесь результат выборов меняется, однако не из-за давления, а из-за изменения желания электората в течении процедуры выборов.
   Теперь проведём краткий анализ. Чем хорош демократический выбор? Тем, что выбор делает сам электорат, то есть люди (или лица), которых решение выбора непосредственно касается. Тут вину нельзя скинуть на диктатора или царя. Ответственность за выбор лежит только на электорате.
   Чем же плох демократический выбор? Тем, что дурных в электорате часто больше чем умных, а выбор делается большинством. Тем, что на электорат могут действовать сиюминутные заботы, а решение рассчитано на длительный срок. То есть демократический выбор часто оказывается тактическим, а не стратегическим. Кроме того, чаще всего выигрывают выборы популисты.
  
  
  
  
  
  
  

Оценка: 3.00*3  Ваша оценка:

Связаться с программистом сайта.

Новые книги авторов СИ, вышедшие из печати:
О.Болдырева "Крадуш. Чужие души" М.Николаев "Вторжение на Землю"

Как попасть в этoт список

Кожевенное мастерство | Сайт "Художники" | Доска об'явлений "Книги"